Описание:
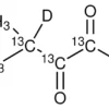
2-оксомасляная кислота-13C4,3,3-d2 натриевая соль гидрат — меченое стабильными изотопами соединение, используемое в исследованиях метаболизма аминокислот и кетоновых тел. Содержит четыре атома углерода-13 и два атома дейтерия, что позволяет отслеживать метаболические пути методом масс-спектрометрии или ЯМР-спектроскопии. Продукт соответствует химической чистоте 98% и изотопной чистоте 99% для 13C и 98% для D. Широко применяется в фармакокинетике и биохимических исследованиях как прекурсор для синтеза меченых аминокислот. Гидратная форма обеспечивает стабильность соединения при хранении.
Применение:
Меченое соединение применяется в качестве трейсера в метаболических исследованиях: изучении цикла трикарбоновых кислот, метаболизма изолейцина и кетоновых тел. Используется в масс-спектрометрических анализах для количественного определения метаболитов. В биохимии — для исследования ферментативных превращений α-кетокислот. В фармацевтике — при разработке методов терапии нарушений обмена веществ. Продукт поставляется НПО ЭкоТек с сертификатом анализа, подтверждающим изотопную и химическую чистоту.



