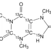
Описание:
3,7-Диметилуровая кислота-2,4,5,6-¹³C₄-1,3,9-¹⁵N₃ — это стабильно изотопно меченое производное урацила, используемое в качестве трассера в биохимических и медицинских исследованиях. Соединение обогащено изотопами углерода-13 (99 ат.%) и азота-15 (98 ат.%), что позволяет отслеживать метаболические пути и кинетику реакций. Обладает высокой химической чистотой (98%, CP), что гарантирует точность экспериментов. Применяется в масс-спектрометрии, ЯМР-спектроскопии и исследованиях метаболома. Хранится в сухом прохладном месте. НПО ЭкоТек обеспечивает высокое качество и стабильность продукта.
Применение:
3,7-Диметилуровая кислота-2,4,5,6-¹³C₄-1,3,9-¹⁵N₃ применяется в фармакокинетических исследованиях для изучения метаболизма ксантина и кофеина. Используется в качестве внутреннего стандарта в аналитической химии благодаря изотопной метке. Незаменима при исследовании пуринового обмена, диагностике подагры и разработке лекарственных препаратов. НПО ЭкоТек рекомендует использовать соединение в масс-спектрометрическом анализе для повышения чувствительности детекции.



