Описание:
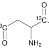
Аспарагиновая кислота-L-1-¹³C,¹⁵N — это изотопно меченое производное аспарагиновой кислоты, в котором атом углерода в карбоксильной группе замещён на стабильный изотоп ¹³C, а атом азота в аминогруппе — на ¹⁵N. Продукт обладает высокой химической чистотой (98 атомных % ¹⁵N и 99 атомных % ¹³C) и используется в качестве метки для изучения метаболических путей и молекулярных механизмов. Вещество представляет собой белый кристаллический порошок, хорошо растворимый в воде и полярных органических растворителях. Благодаря стабильным изотопам, оно незаменимо в исследованиях с применением ЯМР-спектроскопии высокого разрешения и масс-спектрометрии, позволяя отслеживать биохимические превращения в клетках без нарушения естественных процессов.
Применение:
— ЯМР-спектроскопия высокого разрешения для изучения структуры и динамики биомолекул- Метаболомный профилинг и анализ биохимических путей- Стабильно-изотопное зондирование в экологической микробиологии- Исследование механизмов кислотно-катализируемых реакций. Продукт производства НПО ЭкоТек обеспечивает точность в экспериментах по изучению метаболизма аминокислот, синтеза нейромедиаторов и цикла мочевины.



