Описание:
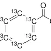
Ацетилендикарбоновая кислота-1-¹³C динатриевая соль — это стабильный изотопно-меченый реагент, содержащий атом углерода-13 в одном из карбоксилатных фрагментов. Соединение представляет собой динатриевую соль ацетилендикарбоновой кислоты с химической формулой NaO₂CC≡C¹³CO₂Na. Синтезированное с чистотой 98% (метод химической чистоты, CP) и обогащением 99 атомных процентов по углероду-13, данное вещество является ценным инструментом в исследованиях с применением ЯМР-спектроскопии и масс-спектрометрии. Его высокое изотопное обогащение позволяет точно отслеживать метаболические пути в биохимических исследованиях, изучать механизмы органических реакций, а также использовать в качестве стандарта для количественного анализа. Благодаря наличию тройной связи и двух карбоксильных групп, соединение может выступать в качестве строительного блока в синтезе более сложных меченых молекул. НПО ЭкоТек обеспечивает поставки данного реагента с гарантированной чистотой и точной спецификацией.
Применение:
Динатриевая соль ацетилендикарбоновой кислоты-1-¹³C находит широкое применение в качестве меченого прекурсора в органическом синтезе, биохимии и аналитической химии. Основные области использования: 1) Исследования методом ядерного магнитного резонанса (ЯМР) — благодаря высокой степени обогащения углеродом-13 позволяет получать высококачественные спектры для изучения структуры молекул и динамики процессов. 2) Метаболический трассировщик в биомедицинских исследованиях — используется для отслеживания путей метаболизма в клетках и тканях. 3) Масс-спектрометрический анализ — служит внутренним стандартом для количественного определения органических кислот. 4) Синтез изотопно-меченых сложных органических соединений, таких как фармацевтические препараты или специальные материалы, где требуется введение метки в специфическую позицию. 5) Исследование механизмов органических реакций с участием ацетиленовых производных. Продукт поставляется НПО ЭкоТек в герметичной упаковке, обеспечивающей стабильность и длительный срок хранения.



