Описание:
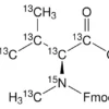
Бензилоксикарбонилвалин-¹³C₅,¹⁵N — это стабильно изотопно меченое производное аминокислоты валина, где пять атомов углерода заменены на изотоп ¹³C, а один атом азота — на ¹⁵N. Чистота соединения составляет 97% (CP), с изотопным обогащением 99 атомных % для ¹³C и 98 атомных % для ¹⁵N. Это белое кристаллическое вещество, растворимое в органических растворителях, таких как диметилсульфоксид и дихлорметан. Продукт производится НПО ЭкоТек с гарантией качества и точным контролем изотопного состава. Изотопное мечение позволяет использовать его в качестве внутреннего стандарта в масс-спектрометрии и ядерном магнитном резонансе (ЯМР), обеспечивая высокую точность аналитических измерений.
Применение:
Бензилоксикарбонилвалин-¹³C₅,¹⁵N широко применяется в научных исследованиях, особенно в метаболомике и протеомике. Он служит внутренним стандартом при масс-спектрометрическом анализе аминокислот и пептидов, позволяя точно количественно определять концентрации биологических молекул. В фармакокинетике помогает отслеживать метаболизм лекарственных препаратов. Также используется в ЯМР-спектроскопии для изучения структуры белков и их динамики. Продукт незаменим при синтезе изотопно меченых пептидов для исследований взаимодействий белок-лиганд. НПО ЭкоТек обеспечивает высокое качество реагента для критически важных экспериментов.



