Описание:
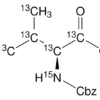
Фмок-N-Метил-¹³C-L-валин-¹³C₅,¹⁵N — это изотопно-меченое соединение, где атомы углерода и азота замещены стабильными изотопами ¹³C и ¹⁵N. Данное вещество содержит 99 атомных процентов ¹³C и 98 атомных процентов ¹⁵N с химической чистотой 97%. Оно представляет собой производное аминокислоты валина с защитной Fmoc-группой (9-флуоренилметоксикарбонильной) и N-метилированной аминогруппой. Благодаря стабильным изотопным меткам, это соединение незаменимо в качестве внутреннего стандарта в масс-спектрометрии и ЯМР-спектроскопии, обеспечивая точность количественного анализа. Применяется в фармакологических исследованиях, изучении кинетики ферментов и биомаркеров заболеваний. Синтезировано и очищено НПО ЭкоТек с соблюдением строгих стандартов качества.
Применение:
Фмок-N-Метил-¹³C-L-валин-¹³C₅,¹⁵N находит применение в следующих областях: — Высокоразрешающая ЯМР-спектроскопия для структурного анализа белков и пептидов. — Метаболомный профилирование и анализ биохимических путей с целью выявления нарушений метаболизма. — Исследования стабильных изотопов (SIP) в экологической микробиологии для отслеживания метаболических потоков в микробных сообществах. — Стандарты качества в аналитической химии при валидации методов. Продукт обеспечивает высокую точность измерений благодаря контролируемому изотопному составу. НПО ЭкоТек гарантирует стабильность поставок и соответствие спецификациям для критически важных исследований.



