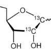
Описание:
D-Рибоза-2,3,4,5-¹³C₄ — это стабильно изотопно-меченое соединение, где атомы углерода в позициях 2, 3, 4 и 5 заменены на изотоп углерод-13. Обладает чистотой 99% по содержанию изотопа и общей химической чистотой 99% (CP). Данный изотопомер широко применяется в научных исследованиях для метаболических исследований, изучения биосинтетических путей и в качестве стандарта для ЯМР-спектроскопии. Благодаря стабильности изотопной метки, он незаменим в долгосрочных экспериментах без риска радиоактивного распада. НПО ЭкоТек гарантирует высокое качество и точную концентрацию вещества.
Применение:
D-Рибоза-2,3,4,5-¹³C₄ используется в качестве изотопной метки в биохимических исследованиях. Основные области применения: 1) Исследование метаболических путей пентозофосфатного цикла и синтеза нуклеотидов; 2) ЯМР-спектроскопия для изучения структуры и динамики биомолекул; 3) Трассерные эксперименты в in vivo и in vitro системах для отслеживания биотрансформации рибозы; 4) Фармацевтическая разработка лекарств с мечеными компонентами. Продукт поставляется НПО ЭкоТек с сертификатом анализа, подтверждающим изотопную и химическую чистоту.



