Описание:
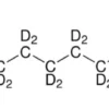
Этан-1,1,2,2-d₄ — это стабильный изотопный аналог этана, где четыре атома водорода замещены дейтерием (D, атомный процент 99%). Формула соединения: HCD₂CD₂H. Это соединение является важным инструментом в спектроскопии ЯМР, кинетических исследованиях и механистических исследованиях благодаря отсутствию сигналов от водорода в замещённых позициях. Этан-1,1,2,2-d₄ используется как внутренний стандарт в аналитической химии и как меченое соединение в синтезе более сложных дейтерированных молекул. Применяется в фармацевтической промышленности для изучения метаболизма лекарств, а также в научных исследованиях в области химии и физики.
Применение:
Этан-1,1,2,2-d₄ находит применение в качестве дейтерированного стандарта в спектроскопии ЯМР, что позволяет точно калибровать приборы и проводить исследования структуры молекул. В кинетических экспериментах он используется для изучения механизмов химических реакций методом изотопного мечения. В фармакокинетике с его помощью отслеживают метаболические пути лекарственных препаратов. Также соединение применяется в производстве жидкокристаллических материалов и полупроводников для электроники. НПО ЭкоТек обеспечивает высокую степень чистоты продукта (99 ат.% D), что гарантирует воспроизводимость результатов в научных и промышленных задачах.



