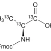
Описание:
Фмок-аланин-2-13C — это стабильный изотопно меченный аминокислотный реагент, содержащий углерод-13 в альфа-положении. Соединение имеет химическую формулу C₁₈H₁₇NO₄ с изотопной меткой 13C. Чистота: 99 атомных процентов 13C. Представляет собой белое кристаллическое вещество, растворимое в органических растворителях (ДМСО, дихлорметане), но нерастворимое в воде. Применяется в синтезе меченных пептидов для ЯМР-спектроскопии и масс-спектрометрии. Производство НПО ЭкоТек гарантирует высочайшее качество и чистоту продукта, что критично для исследований в области протеомики и структурной биологии.
Применение:
Фмок-аланин-2-13C используется в твердофазном синтезе пептидов как строительный блок для введения изотопной метки. Основные области применения: 1) ЯМР-исследования структуры и динамики пептидов и белков — метка позволяет отслеживать конформационные изменения; 2) масс-спектрометрический анализ белковых взаимодействий; 3) кинетические исследования ферментативных реакций. Совместим со стандартными протоколами SPPS (Fmoc-стратегия). При обработке требует осторожности из-за чувствительности к кислотам/основаниям. Продукт производства НПО ЭкоТек соответствует требованиям фармацевтических и биотехнологических исследований.



