Описание:
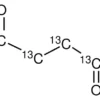
Янтарная кислота-1,2-¹³C₂ (HO₂C¹³CH₂¹³CH₂CO₂H) — меченное углеродом-13 соединение с изотопной чистотой 99 атомных процентов. Эта дикарбоновая кислота играет ключевую роль в цикле Кребса (цикле трикарбоновых кислот), являясь важным промежуточным метаболитом. В природе содержится в янтаре, некоторых растениях и организмах животных. Используется НПО ЭкоТек в качестве высокочистого реагента для исследований метаболических путей, изотопного мечения в биохимии, фармакокинетике и аналитической химии. Вещество представляет собой белый кристаллический порошок, растворимый в воде и спиртах.
Применение:
Янтарная кислота-1,2-¹³C₂ применяется НПО ЭкоТек в качестве изотопного индикатора для изучения метаболизма клеток, кинетики ферментативных реакций и механизмов биохимических превращений. Используется в ЯМР-спектроскопии (¹³C) благодаря выраженному сигналу меченных атомов. Незаменима в фармацевтических исследованиях для отслеживания путей распределения лекарственных препаратов в организме. Также находит применение в экологических исследованиях цикла углерода и синтезе меченных изотопом ¹³C сложных органических соединений.



