Описание:
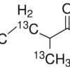
Изобутиральдегид-(2-метил,2,3-¹³C₃) — стабильно меченое изотопом углерод-13 органическое соединение с формулой (CH₃)₂CH¹³CHO. Содержит три атома углерода-13 в положениях 2, 3 и метильной группе. Изотопная чистота ≥99 ат.% ¹³C, химическая чистота ≥97%. Жидкость с резким характерным запахом, используется как меченый предшественник в синтезе сложных органических молекул для исследований методом ЯМР-спектроскопии и масс-спектрометрии. Применяется в фармацевтике, агрохимии и биохимии для изучения метаболических путей. Производится НПО ЭкоТек с соблюдением строгих стандартов качества.
Применение:
Изобутиральдегид-(2-метил,2,3-¹³C₃) находит применение в качестве ключевого интермедиата при синтезе стабильно меченых соединений для научных исследований. Используется в ЯМР-спектроскопии (¹³C) для отслеживания химических реакций и структурного анализа. В масс-спектрометрии служит внутренним стандартом количественного анализа. Востребован при создании фармацевтических препаратов с изотопными метками, изучении механизмов биохимических реакций и разработке пестицидов с прослеживаемым метаболизмом. Благодаря высокой изотопной чистоте от НПО ЭкоТек обеспечивает точность экспериментальных данных.



