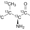
Хлорид холина-1-13C,1,1,2,2-d4

По запросу

Хлорид холина-1-13C,1,1,2,2-d4: ≥99 ат.% 13C, ≥97 ат.% D, 99% (ХА). Применение в ЯМР, метаболомике и экологической микробиологии. Надёжные поставки от НПО ЭкоТек.

Количество