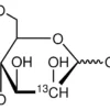
Описание:
Крахмал-13C из водорослей представляет собой изотопно-меченое соединение, обогащённое углеродом-13 (99 атомных процентов). Это натуральный продукт, полученный из водорослей, с высокой степенью чистоты и изотопной обогащённости. Водоросли, как природный источник крахмала, позволяют получать экологически чистый меченый субстрат для исследовательских целей. Изотопное мечение углеродом-13 делает его ценным инструментом для исследований методом ЯМР-спектроскопии и масс-спектрометрии. Основная сфера применения включает изучение метаболических путей растений и микроорганизмов, отслеживание биодеградации крахмала, а также исследование фотосинтеза и углеродного цикла в экосистемах. Физические свойства: белый аморфный порошок без запаха, нерастворим в холодной воде, образует коллоидный раствор при нагревании. Интересный факт: использование изотопно-меченого крахмала из водорослей позволяет проводить точные исследования без нарушения естественных биохимических процессов.
Применение:
Крахмал-13C из водорослей находит широкое применение в научных исследованиях. Он используется в качестве меченого субстрата для изучения метаболизма углеводов у растений и микроорганизмов методом изотопного отслеживания. Применяется в экологических исследованиях для анализа разложения биополимеров в природных условиях. Благодаря высокой степени обогащения углеродом-13, он служит стандартом в ЯМР-спектроскопии для калибровки и количественного анализа. В фармакологии используется при разработке и тестировании лекарственных форм с контролируемым высвобождением. Также применяется в сельскохозяйственных исследованиях для оптимизации процессов фотосинтеза и изучения углеродного обмена в растениях. Продукт поставляется НПО ЭкоТек в виде сырого порошка, готового к использованию в экспериментах.



