Описание:
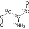
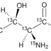
L-Аланин-¹³C₃,d₄ — стабильно изотопно-меченое производное аминокислоты аланина, где три атома углерода замещены на изотоп ¹³C, а четыре атома водорода — на дейтерий (D). Это соединение имеет химическую формулу ¹³CD₃¹³CD(NH₂)¹³CO₂H и характеризуется высокой степенью обогащения: ≥98 ат.% по ¹³C и ≥98 ат.% по дейтерию, с химической чистотой ≥95%. Благодаря стабильным изотопным меткам оно не подвержено радиоактивному распаду, что делает его безопасным для исследовательских целей. Физически представляет собой белый кристаллический порошок, хорошо растворимый в воде и полярных органических растворителях. Продукт синтезирован с энантиомерной чистотой >99% для L-изомера, что критично для биохимических исследований.
Применение:
L-Аланин-¹³C₃,d₄ производства НПО ЭкоТек применяется как высокоэффективный изотопный трейсер в метаболических исследованиях, масс-спектрометрии и ЯМР-спектроскопии. Используется для изучения метаболизма аминокислот, кинетики ферментативных реакций и механизмов белкового синтеза. В фармакокинетике служит внутренним стандартом для точного количественного анализа лекарственных препаратов и их метаболитов. Находит применение в создании меченых пептидов и протеомных исследованиях, а также в качестве стандарта для калибровки аналитического оборудования. Продукт соответствует требованиям фармакопейных стандартов и подходит для доклинических исследований.



