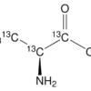
Описание:
L-Аланин-¹³C₃,¹⁵N — это стабильный изотопно меченый аминокислотный стандарт, содержащий углерод-13 и азот-15. Обладает чистотой изотопов 98 атомных процентов для обоих элементов. Широко применяется в исследованиях метаболизма методом ЯМР-спектроскопии, позволяя отслеживать биохимические пути в реальном времени без радиационного облучения. Физически представляет собой белый кристаллический порошок, растворимый в воде и слабых кислотах. В НПО ЭкоТек мы гарантируем высочайшее качество реагентов для научных изысканий.
Применение:
L-Аланин-¹³C₃,¹⁵N используется как метаболический трейсер в биомедицинских исследованиях, особенно при изучении глюконеогенеза и белкового обмена. Незаменим для количественного анализа in vivo с помощью ¹³C/¹⁵N ЯМР, МС и ИК-спектроскопии. В фармакокинетике помогает моделировать распределение аминокислот. Применяется при разработке диагностических методов на основе изотопного разведения. НПО ЭкоТек поставляет реагент в стандартной упаковке 250 мг с сертификатом анализа.



