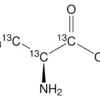
L-Аланин-¹⁵N

По запросу

L-Аланин-¹⁵N 98 атомных % ¹⁵N от НПО ЭкоТек. Стабильный изотопно меченый стандарт для масс-спектрометрии, ЯМР и исследований метаболизма азота. Без эндотоксинов.

Количество