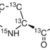
Описание:
L-Глутамин-2-¹³C-амино-¹⁵N — стабильно изотопно меченое соединение с атомом углерода-13 в позиции 2 и атомом азота-15 в аминогруппе. Используется как трейсер в биомедицинских исследованиях, метаболомике и экологической микробиологии. Обеспечивает высокую точность в исследованиях метаболических путей благодаря чистоте 99% по ¹³C и 98% по ¹⁵N. Физические свойства соответствуют обычному L-глутамину: белый кристаллический порошок, растворимый в воде. Применение этого изотопного стандарта позволяет проводить высокочувствительные эксперименты по ЯМР-спектроскопии и масс-спектрометрии без фоновых помех.
Применение:
• Высокоразрешающая ЯМР-спектроскопия: отслеживание метаболических процессов с атомарной точностью • Метаболомическое профилирование и анализ путей: изучение превращений глутамина в клетках • Стабильно изотопное зондирование в экологической микробиологии: исследование микробных сообществ в почве и воде • Экологический мониторинг: детекция биохимических маркеров загрязнений • Биомедицинские исследования: диагностика нарушений метаболизма глутамина при онкологических и неврологических заболеваниях. Продукт поставляется НПО ЭкоТек с гарантией стабильного изотопного состава и химической чистоты.



