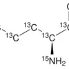
Описание:
Пролин-L-13C5,15N — стабильный изотопно меченый аминокислотный стандарт, содержащий атомы углерода-13 и азота-15. Соединение имеет химическую формулу C5H9NO2 с замещением пяти атомов углерода на изотоп 13C и одного атома азота на 15N. Обогащение составляет 98% для каждого изотопа с химической чистотой 95%. Пролин является единственной протеиногенной аминокислотой с вторичной аминогруппой, что придаёт ему уникальные структурные свойства в белках. В меченой форме он широко применяется в метаболических исследованиях, протеомике и ядерном магнитном резонансе (ЯМР). Его особая циклическая структура влияет на фолдинг белков и стабильность вторичных структур.
Применение:
Пролин-L-13C5,15N производства НПО ЭкоТек используется в качестве внутреннего стандарта в масс-спектрометрии и ЯМР-спектроскопии для количественного анализа метаболитов и белков. Применяется в исследованиях метаболизма растений, где пролин играет ключевую роль в осморегуляции. Незаменим в фармакокинетических исследованиях меченых лекарственных соединений, а также при изучении биосинтеза коллагена. В молекулярной биологии помогает отслеживать кинетику синтеза белка. Продукт соответствует требованиям высокоточной аналитики благодаря 98% обогащению изотопами и химической чистоте 95%.



