Описание:
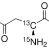
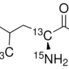
L-Лизин-6-13C,ε-15N гидрохлорид — это стабильно изотопно меченое соединение с химической формулой H₂15N13CH₂(CH₂)₃CH(NH₂)CO₂H · HCl. Продукт содержит 99 ат.% углерода-13 и 98 ат.% азота-15. Чистота составляет 98% (ХП). Это незаменимая аминокислота, широко используемая в биохимических исследованиях, метаболических исследованиях и фармацевтических разработках. В НПО ЭкоТек мы гарантируем высокое качество и точную изотопную маркировку для ваших научных экспериментов. Продукт представляет собой белый кристаллический порошок, хорошо растворимый в воде.
Применение:
L-Лизин-6-13C,ε-15N гидрохлорид применяется в качестве меченого стандарта в масс-спектрометрии и ЯМР-спектроскопии для изучения метаболических путей лизина. Используется в исследованиях белкового обмена, метаболомике и фармакокинетике. Благодаря высокой изотопной чистоте, он идеален для точных количественных анализов. НПО ЭкоТек рекомендует использовать этот продукт в разработке новых лекарственных препаратов, а также в фундаментальных биохимических исследованиях метаболизма аминокислот.



