Описание:
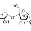
Лактоза уреид-13C — это изотопно-меченое соединение, в котором атом углерода-13 (13C) включен в молекулу лактозы, связанной с уреидной группой. Это вещество характеризуется высокой степенью обогащения (≥99 атомных процентов 13C) и чистоты (≥98% по данным химического анализа). Оно используется в качестве метки для отслеживания метаболических путей и процессов в биохимических исследованиях. Продукт поставляется НПО ЭкоТек с гарантией качества и стабильности.
Применение:
Основные области применения Лактоза уреид-13C включают: 1. Высокоточную ЯМР-спектроскопию для изучения молекулярной структуры и динамики. 2. Метаболомический профилинг и анализ биохимических путей в медицинских и биотехнологических исследованиях. 3. Стабильно-изотопное зондирование (SIP) в экологической микробиологии для отслеживания микробных сообществ и их метаболической активности. 4. Разработку новых материалов в нанотехнологиях и фармацевтике. Благодаря высокой степени изотопной чистоты, соединение обеспечивает точные и воспроизводимые результаты.



