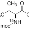
Описание:
N-[(9H-Флуорен-9-илметокси)карбонил]-L-валин-1-¹³C — стабильный изотопно-меченый аминокислотный реагент, обогащённый углеродом-13 (99 атомных %). Соединение обладает высокой химической чистотой (98%) и применяется в синтезе пептидов методом твёрдофазного синтеза (SPPS) с использованием Fmoc-стратегии. Изотопная метка в положении 1 карбоксильной группы позволяет отслеживать метаболические пути в биохимических исследованиях. Вещество представляет собой белый кристаллический порошок, устойчивый при хранении в сухом прохладном месте. Используется в фармацевтике для создания меченых пептидных препаратов и в протеомике для масс-спектрометрического анализа.
Применение:
Основное применение — введение стабильной изотопной метки (¹³C) в пептидные цепи при автоматизированном синтезе. Незаменим в исследованиях методом ЯМР-спектроскопии и масс-спектрометрии для изучения структуры белков и кинетики ферментативных реакций. Применяется при разработке радиофармпрепаратов для позитронно-эмиссионной томографии (ПЭТ). Технические характеристики: изотопная чистота 99 атомных % ¹³C, химическая чистота 98% (ХС). Поставляется НПО ЭкоТек в герметичных ампулах с гарантией стабильности.



