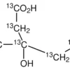
Описание:
Натриевая соль D-3-гидроксибутирата-1,3-¹³C₂ — это меченый стабильным изотопом углерода-13 химический реагент высокой чистоты (99 атомных % ¹³C). Вещество представляет собой белый кристаллический порошок, хорошо растворимый в воде. Основное применение находит в исследованиях метаболизма кетоновых тел, механизмов энергетического обмена в клетках, а также в качестве трейсера в масс-спектрометрии и ЯМР-спектроскопии. Уникальное распределение метки на позициях C-1 и C-3 позволяет детально изучать биохимические пути преобразования β-гидроксибутирата в организме. НПО ЭкоТек гарантирует высочайшее качество продукта, соответствующее строгим стандартам аналитической химии.
Применение:
Меченый ¹³C D-3-гидроксибутират натрия применяется в биохимических и медицинских исследованиях для изучения кетонового метаболизма, особенно при диабете, голодании и кетогенных диетах. Используется как стандарт в масс-спектрометрии для количественного анализа метаболитов. Незаменим в нейробиологии для исследования энергообеспечения мозга через кетоновые тела. НПО ЭкоТек рекомендует данный продукт для фармакокинетических исследований и разработки диагностических методов.



