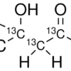
Натриевая соль L-лактата-1-¹³C раствор

38 087,00 

Раствор натриевой соли L-лактата-1-¹³C с 45-55% концентрацией. Изотопная чистота ≥99 ат.% 13C, химическая чистота ≥98%. Применяется в масс-спектрометрии и биомедицинских исследованиях.

Количество