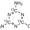
Описание:
Цианамид-¹³C,¹⁵N₂ — это стабильно изотопно меченое химическое соединение, содержащее углерод-13 и азот-15. Имеет формулу H₂¹⁵N¹³C¹⁵N. Продукт стабилизирован 0,1% уксусной кислоты для предотвращения полимеризации. Содержание изотопов: 99 атомных % для ¹³C и 98 атомных % для ¹⁵N. Чистота составляет 98% (ХЧ). Применяется в исследованиях методом ЯМР и масс-спектрометрии как трейсер в биологических, агрохимических и фармацевтических исследованиях. Безводная форма обеспечивает повышенную стабильность и точность экспериментов. Хранить в плотно закрытой таре в прохладном месте.
Применение:
Цианамид-¹³C,¹⁵N₂ используется в качестве меченого соединения в научных исследованиях. Основные области применения: 1) Исследования метаболических путей в биохимии — отслеживание путей азота и углерода в растениях и микроорганизмах. 2) Фармакокинетические исследования — изучение механизмов действия пестицидов и лекарств. 3) Синтез меченых фармацевтических субстанций. 4) ЯМР-спектроскопия — благодаря высокой обогащённости изотопами ¹³C и ¹⁵N, обеспечивает точные спектральные данные. 5) Масс-спектрометрический анализ биологических образцов. Продукт поставляется НПО ЭкоТек с гарантией качества и соответствия спецификациям.



