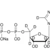
Описание:
Цитидин-d₁₄ 5′-трифосфат динатриевая соль раствор представляет собой высокоочищенное соединение с содержанием дейтерия не менее 98 атомных процентов и химической чистотой ≥95%. Раствор приготовлен в 100 мМ концентрации на основе 5 мМ трис-буфера в тяжёлой воде (D₂O). Это аналог цитидинтрифосфата (CTP), где все атомы водорода заменены на дейтерий, что делает его ценным инструментом в исследованиях методом ЯМР-спектроскопии и метаболического трассирования. Продукт производится НПО ЭкоТек с соблюдением строгих стандартов качества, обеспечивающих воспроизводимость экспериментальных данных. Его особая стабильность и изотопная чистота открывают возможности для изучения механизмов ферментативных реакций, кинетики нуклеиновых кислот и вирусологии.
Применение:
Раствор цитидин-d₁₄ 5′-трифосфата динатриевой соли широко применяется в биохимических и молекулярно-биологических исследованиях в качестве дейтерированного субстрата. Основные направления использования: 1) Трассировка метаболических путей в клетках с помощью масс-спектрометрии и ЯМР; 2) Исследование структуры и динамики РНК методом ЯМР; 3) Кинетические исследования РНК-полимераз и других нуклеотид-зависимых ферментов; 4) Синтез меченых РНК для изучения вирусной репликации. Благодаря высокой степени дейтерирования, соединение минимизирует фоновые сигналы в спектрах, повышая точность измерений. НПО ЭкоТек рекомендует использовать продукт в условиях, исключающих контаминацию протонами, для сохранения изотопной чистоты.



