Стабильные изотопы
Стабильные изотопы
Трис(1,1,1,2,2,3,3-гептафтор-7,7-диметил-4,6-октандионато)европий(III)
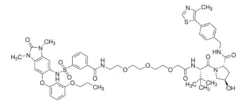
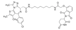
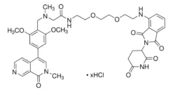
Строительные блоки для протеолизаторов
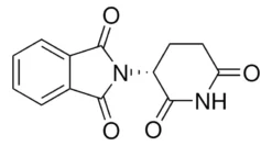
Талидомид Исследовательский ≥98% (ВЭЖХ), Порошок, CAS 2614-06-4
Химическая биология
Химическая биология
Химическая биология
Инструменты химической биологии
Кросс-сшиватели
Химическая биология
Химическая биология
Строительные блоки для протеолизаторов
Химическая биология
Строительные блоки для протеолизаторов
Строительные блоки для протеолизаторов
Химическая биология
Химическая биология
Строительные блоки для протеолизаторов
Строительные блоки для протеолизаторов
Строительные блоки для протеолизаторов
Химическая биология
Химическая биология
Строительные блоки для протеолизаторов
Строительные блоки для протеолизаторов
Химическая биология
Бис(3-сульфо-N-гидроксисукцинимидил) эфир пробковой кислоты натриевая соль
Химическая биология
Строительные блоки для протеолизаторов
Строительные блоки для протеолизаторов
Гетероагент для амино-тиольной сшивки: эфир 6-малеимидогексановой кислоты 98%
Строительные блоки для протеолизаторов
N-сукцинимидиловый эфир 4-(малеимидометил)циклогексанкарбоновой кислоты
