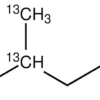
2-Метил-¹³C-масляный альдегид-3,4-¹³C₂

По запросу

2-Метил-¹³C-масляный альдегид-3,4-¹³C₂ с чистотой ≥99 ат.% ¹³C и ≥97% (ХЧ) для ЯМР, метаболомики и экологических исследований. Надежные поставки от НПО ЭкоТек.

Количество