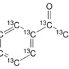
Ацетофенон-(бензольное кольцо-¹³C₆)

По запросу

Ацетофенон-(бензольное кольцо-¹³C₆): 99 атомных % ¹³C, 99% (ХЧ). Стандарт для ЯМР и масс-спектрометрии. CAS 125770-94-7. Применение в метаболомике и микробиологии.

Количество