Описание:
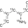
Дейин-1,2-¹³C₂ — меченный изотопом углерод-13 дейин (дециин) с высокой химической чистотой 98%. Соединение содержит два атома ¹³C в терминальном положении тройной связи. Благодаря стабильному изотопу углерода, вещество применяется в передовых научных исследованиях как инструмент для трассировки химических реакций и биологических процессов. Физически представляет собой бесцветную жидкость с характерным запахом непредельных углеводородов, умеренно летуч и требует хранения в прохладном месте.
Применение:
• Высокочувствительная ЯМР-спектроскопия для структурного анализа • Метаболомическое профилирование и исследование биологических путей • Трассировка стабильных изотопов в экологической микробиологии • Разработка функциональных материалов с контролируемыми свойствами • Синтез меченых соединений в фармакокинетике



