Описание:
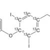
Дезметилраклоприд — высокоочищенное органическое соединение, применяемое в научных исследованиях. Это вещество с химической формулой C₁₄H₁₈Cl₂N₂O₃ является метаболитом раклоприда и используется преимущественно в нейрофармакологических исследованиях. Физически представляет собой белый или почти белый кристаллический порошок, хорошо растворимый в органических растворителях. Дезметилраклоприд обладает высокой селективностью к дофаминовым рецепторам D₂/D₃ подтипа, что делает его ценным инструментом для изучения механизмов действия нейролептиков и патогенеза психических расстройств.
Применение:
Основное применение дезметилраклоприда — использование в качестве стандарта в аналитической химии и радиофармакологии. В НПО ЭкоТек это соединение применяется: 1) как референсный стандарт в ВЭЖХ и масс-спектрометрии для количественного определения раклоприда и его метаболитов; 2) в исследованиях дофаминовых рецепторов методом ПЭТ-визуализации; 3) в доклинических исследованиях фармакокинетики антипсихотических препаратов. Также вещество может использоваться при разработке новых методов диагностики болезни Паркинсона и шизофрении.



