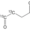
Дигидрохлорид гистамина-1-13C,1-15N

По запросу

Высокоочищенный дигидрохлорид гистамина с изотопными метками 13C и 15N. 99 атомных % 13C, 98 атомных % 15N. Применяется в исследованиях и диагностике. НПО ЭкоТек.

Количество