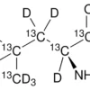
Описание:
DL-аланин-2-¹³C,3,3,3-d₃ — стабильно меченое соединение, используемое в качестве метаболического трейсера в биохимических и медицинских исследованиях. Соединение содержит изотоп углерода-13 в позиции 2 и три атома дейтерия в метильной группе. Имеет химическую формулу CD₃¹³CH(NH₂)CO₂H. Применяется для изучения метаболических путей аминокислот, механизмов синтеза белков, а также в исследованиях методом ядерного магнитного резонанса (ЯМР). Выпускается НПО ЭкоТек с изотопной чистотой 99 атомных % для дейтерия и 99 атомных % для углерода-13.
Применение:
DL-аланин-2-¹³C,3,3,3-d₃ используется в качестве высокочувствительного изотопного индикатора в метаболомике, протеомике и фармакокинетических исследованиях. Основные области применения: 1. Исследование метаболизма аминокислот и белков in vivo и in vitro. 2. Мониторинг биохимических превращений с помощью ЯМР-спектроскопии. 3. Трассировка путей биосинтеза в микробиологии. 4. Фармацевтический анализ лекарственных препаратов и их метаболитов. НПО ЭкоТек гарантирует высокую изотопную чистоту продукта, что обеспечивает точность научных экспериментов.



