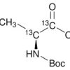
Описание:
DL-Аланин-3-¹³C,3,3,3-d₃ — это меченый изотопный аналог аминокислоты аланина с атомом углерода-13 в положении 3 и тремя атомами дейтерия вместо водорода в метильной группе. Обладает высокой химической чистотой (99 атом.% D и 99 атом.% ¹³C), что делает его незаменимым инструментом в современных биохимических исследованиях. Продукт отличается высокой стабильностью и совместимостью с биологическими системами. Произведен НПО ЭкоТек с соблюдением строгих стандартов качества для обеспечения воспроизводимости экспериментов.
Применение:
Применение DL-Аланина-3-¹³C,3,3,3-d₃ охватывает передовые научные направления: 1) Высокоразрешающая ЯМР-спектроскопия для изучения молекулярной структуры; 2) Метаболомный профилинг и анализ биохимических путей с использованием масс-спектрометрии; 3) Методы стабильных изотопов (SIP) в экологической микробиологии для отслеживания метаболических потоков; 4) Разработка фармацевтических формуляций с изотопными маркерами для фармакокинетических исследований. Благодаря двойной изотопной метке, соединение обеспечивает высокую чувствительность детекции в сложных биологических матрицах.



