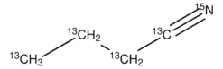
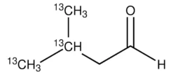
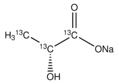
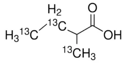
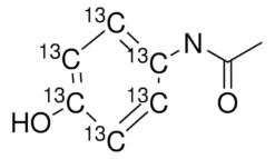
Стабильные изотопы
Стабильные изотопы
Стабильные изотопы
Стабильные изотопы
Стабильные изотопы
Стабильные изотопы
Стабильные изотопы
Стабильные изотопы
Метиловый эфир 4-аминопиколиновой кислоты-α-¹³C с меченым азотом-15
Стабильные изотопы
Стабильные изотопы
Стабильные изотопы
Дисульфат хенодезоксихолевой-2,2,4,4-d₄ кислоты динатриевая соль
Стабильные изотопы
Стабильные изотопы
Стабильные изотопы
Стабильные изотопы
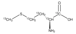
Смесь меченых стабильными изотопами аминокислот для масс-спектрометрии
Стабильные изотопы
Стабильные изотопы
Стабильные изотопы
Стабильные изотопы
Стабильные изотопы
Стабильные изотопы
Стабильные изотопы
Стабильные изотопы
Стабильные изотопы
Стабильные изотопы
Стабильные изотопы
Стабильные изотопы
Стабильные изотопы
Стабильные изотопы
Стабильные изотопы
