Описание:
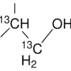
Пинаколиловый спирт-1,2-¹³C₂ — это изотопно меченое органическое соединение с двумя атомами углерода-13 в положениях 1 и 2 молекулы. Чистота вещества составляет ≥99 атомных процентов по ¹³C и ≥97% по химической чистоте (CP). Пинаколиловый спирт (3,3-диметилбутан-2-ол) является важным промежуточным продуктом в органическом синтезе, особенно при получении пестицидов и фармацевтических субстанций. Его стабильно меченый аналог широко применяется в исследованиях методом ядерного магнитного резонанса (ЯМР) и масс-спектрометрии для отслеживания метаболических путей. НПО ЭкоТек гарантирует высочайшее качество продукта, соответствующее международным стандартам. Физические свойства: бесцветная жидкость с характерным спиртовым запахом, умеренно растворимая в воде и хорошо — в органических растворителях.
Применение:
Пинаколиловый спирт-1,2-¹³C₂ применяется преимущественно в научных исследованиях: 1) Как трассер в метаболических исследованиях с использованием ЯМР-спектроскопии — позволяет визуализировать пути биотрансформации веществ. 2) В масс-спектрометрических анализах для повышения чувствительности детектирования. 3) При синтезе меченых пестицидов (например, производных пинаколилового эфира) для изучения их экологического поведения. 4) В фармацевтике при разработке радиофармпрепаратов. НПО ЭкоТек рекомендует соблюдать стандартные меры безопасности при работе с органическими спиртами: использовать средства защиты и проводить реакции в вытяжном шкафу.



