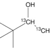
Изобутанол-1,2-¹³C₂

По запросу

Изобутанол-1,2-¹³C₂ с обогащением ≥99% атомов ¹³C и чистотой ≥97% (CP). Применяется в биохимических исследованиях и синтезе меченых препаратов. Производство НПО ЭкоТек.

Количество