Описание:
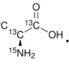
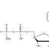
Уридин-¹⁵N₂ 5′-трифосфат динатриевая соль раствор представляет собой меченое азотом-15 соединение, используемое в биохимических исследованиях. Раствор 100 мМ в 5 мМ Трис-HCl / воде, обогащённый изотопом ¹⁵N (≥98 ат.%) с химической чистотой ≥95%. Стабилен при хранении при -20°C. Применяется в метаболических исследованиях, изучении ферментативных реакций и ядерного магнитного резонанса (ЯМР). Изотопная метка позволяет точно отслеживать пути биотрансформации нуклеотидов.
Применение:
Раствор уридин-¹⁵N₂ 5′-трифосфата динатриевой соли применяется в: 1) Исследованиях метаболизма РНК и синтеза нуклеиновых кислот методом ЯМР-спектроскопии 2) Кинетических исследованиях РНК-полимераз и других ферментов, участвующих в транскрипции 3) Трассировке путей биосинтеза пиримидиновых нуклеотидов 4) Экспериментах по стабильно-изотопному мечению в протеомике. Требует аккуратного обращения и хранения при -20°C. Продукт производится НПО ЭкоТек с гарантией высокой изотопной чистоты.



